728x90
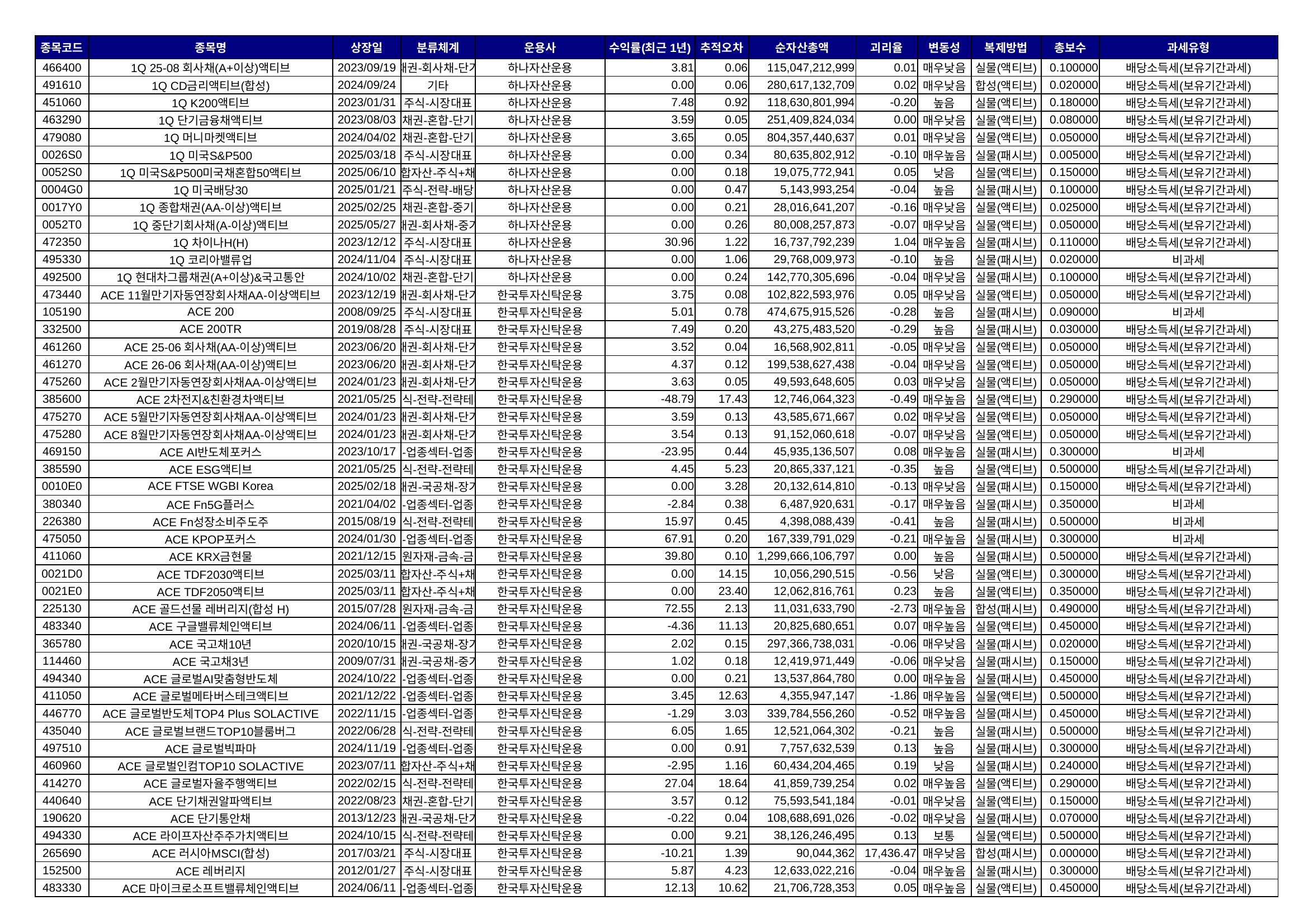
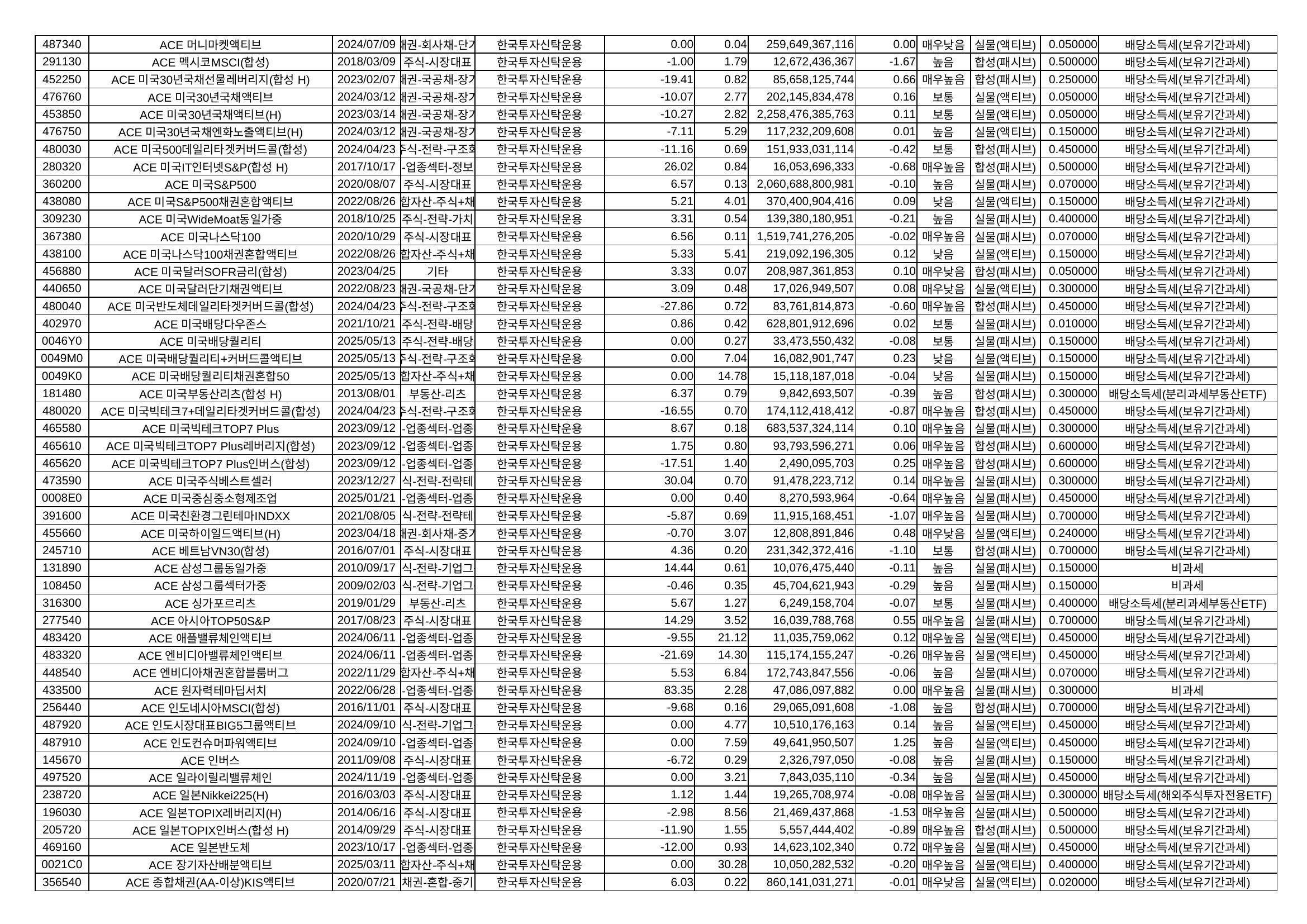
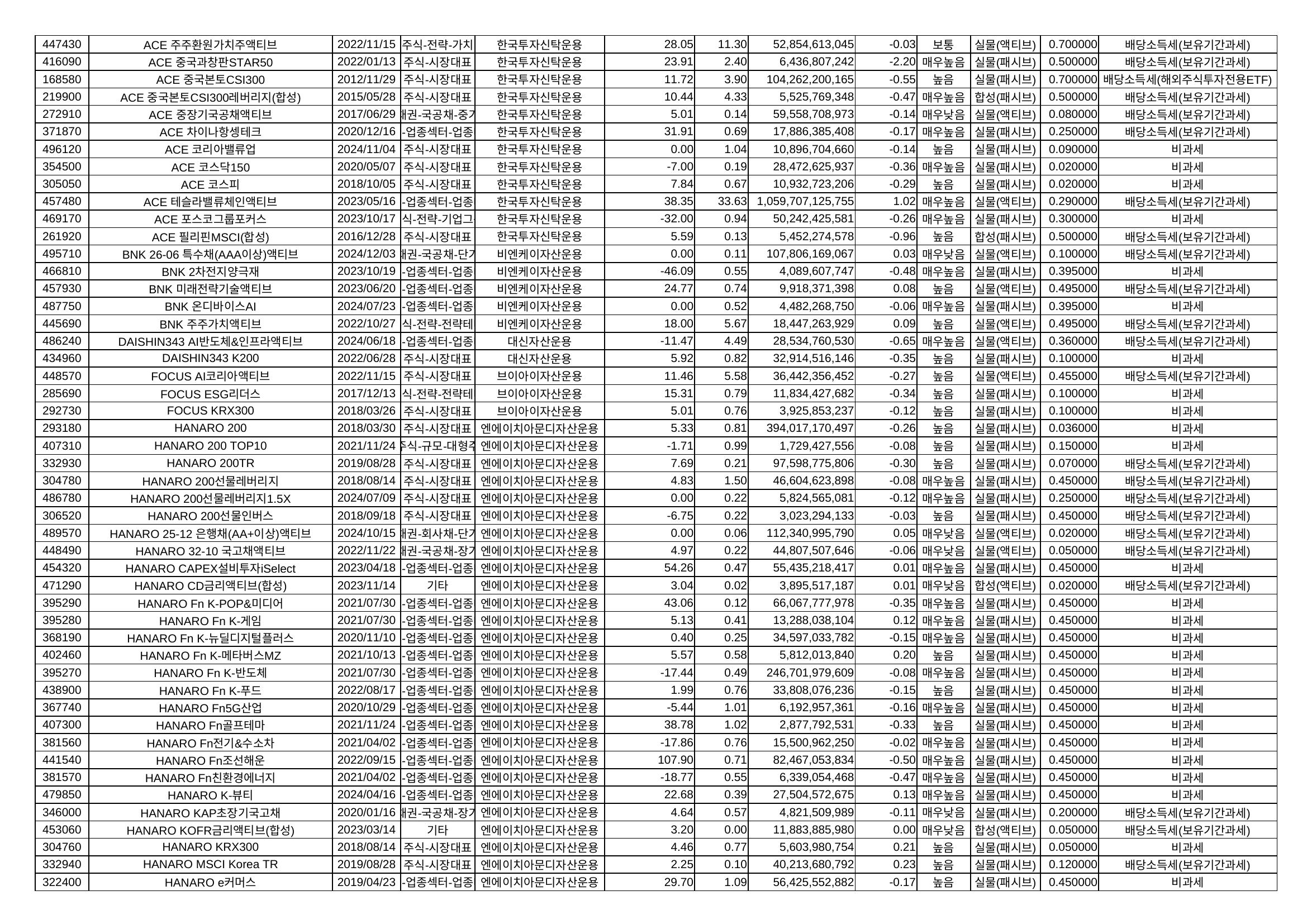
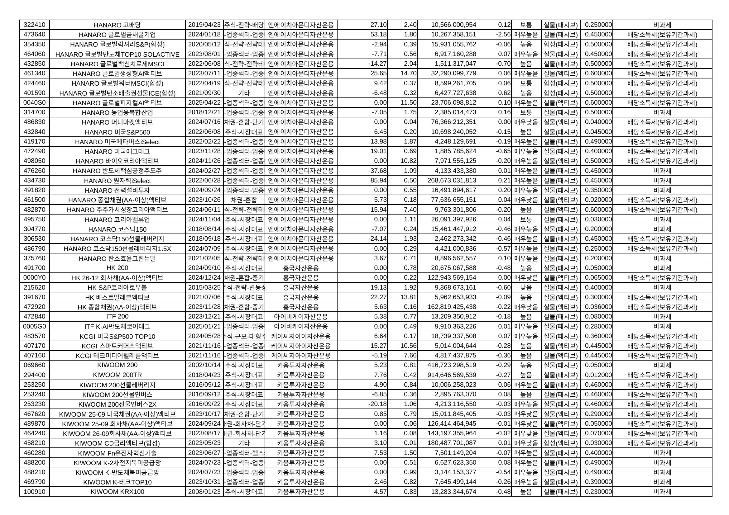
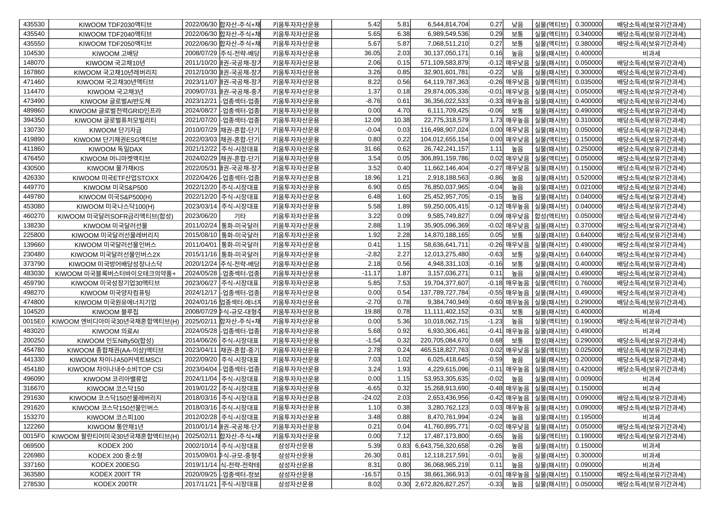
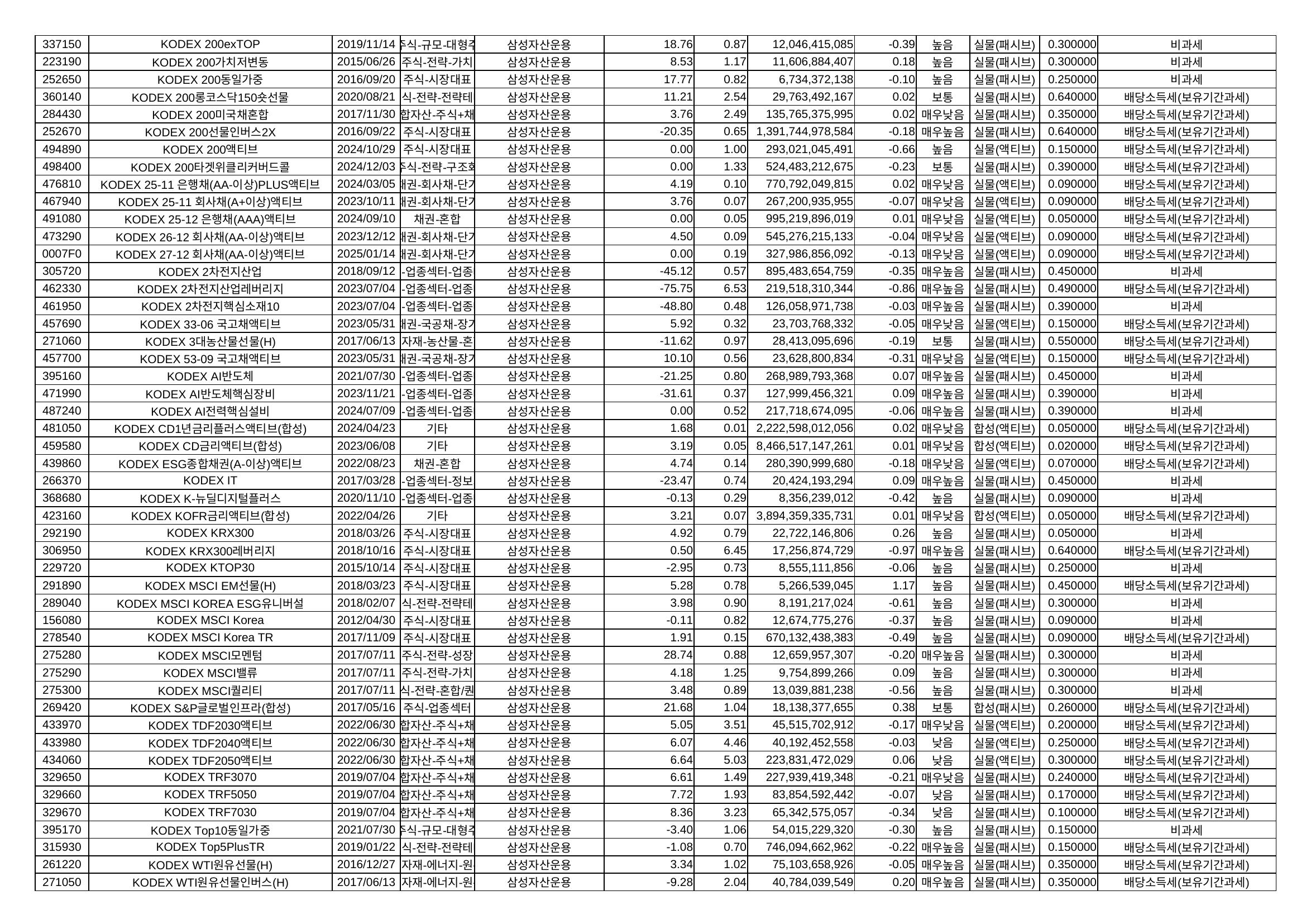
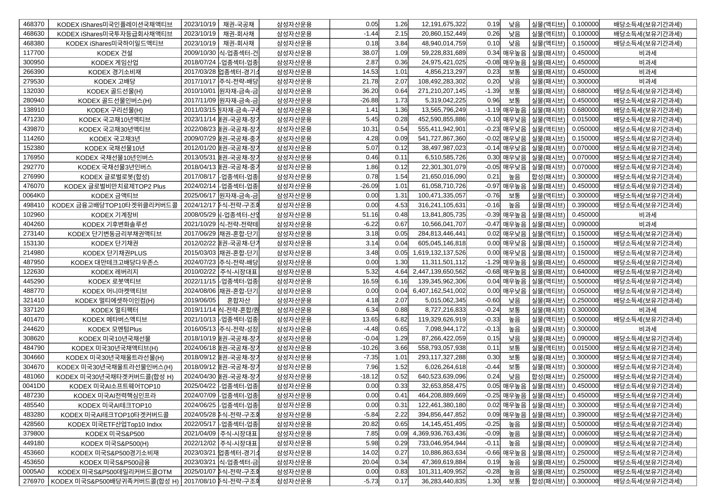
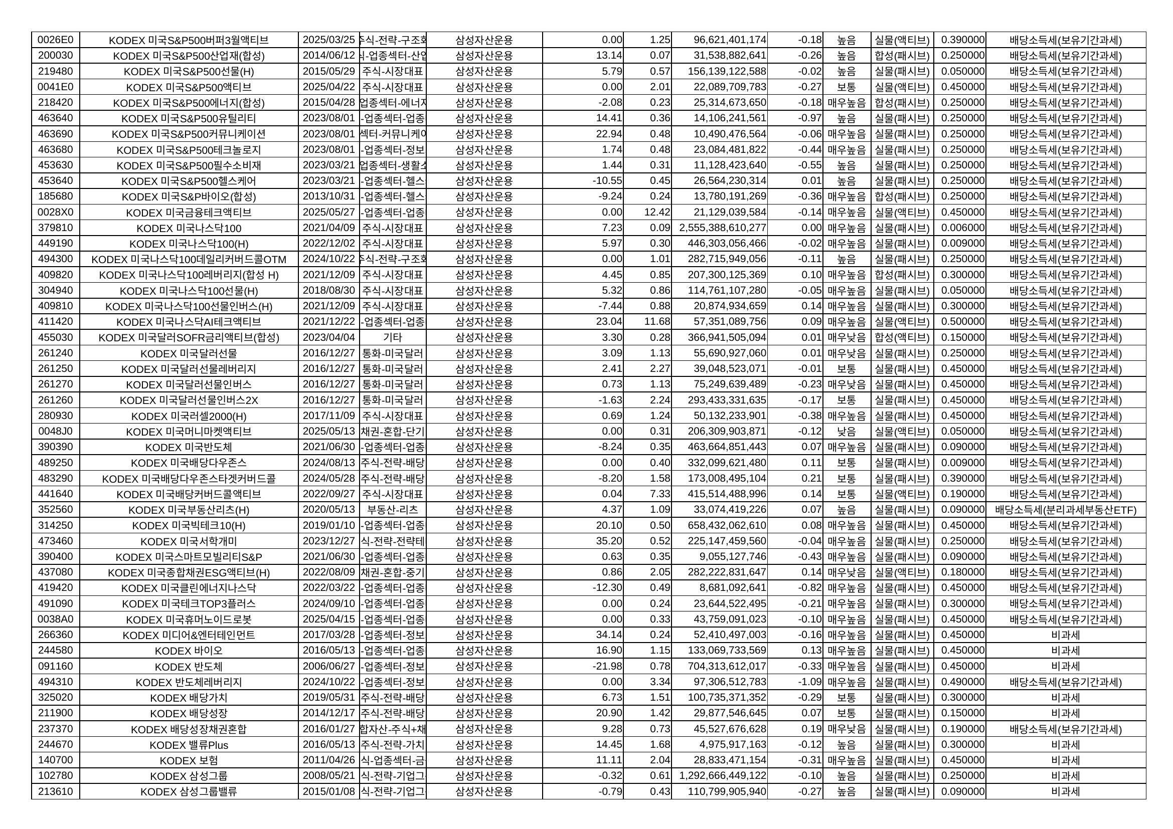
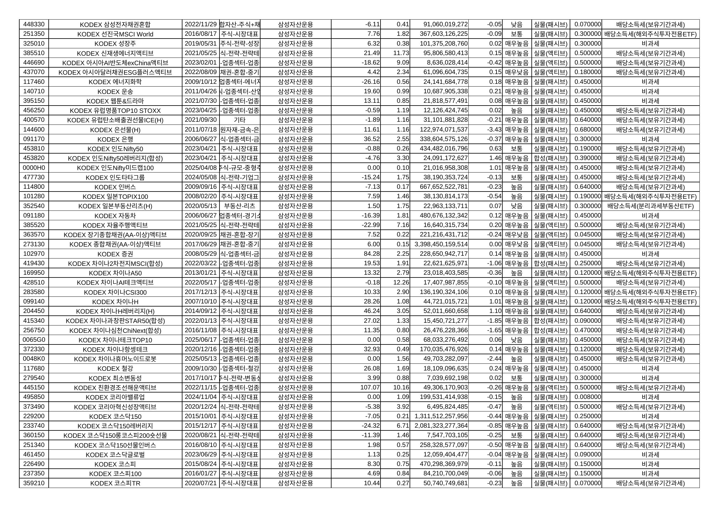
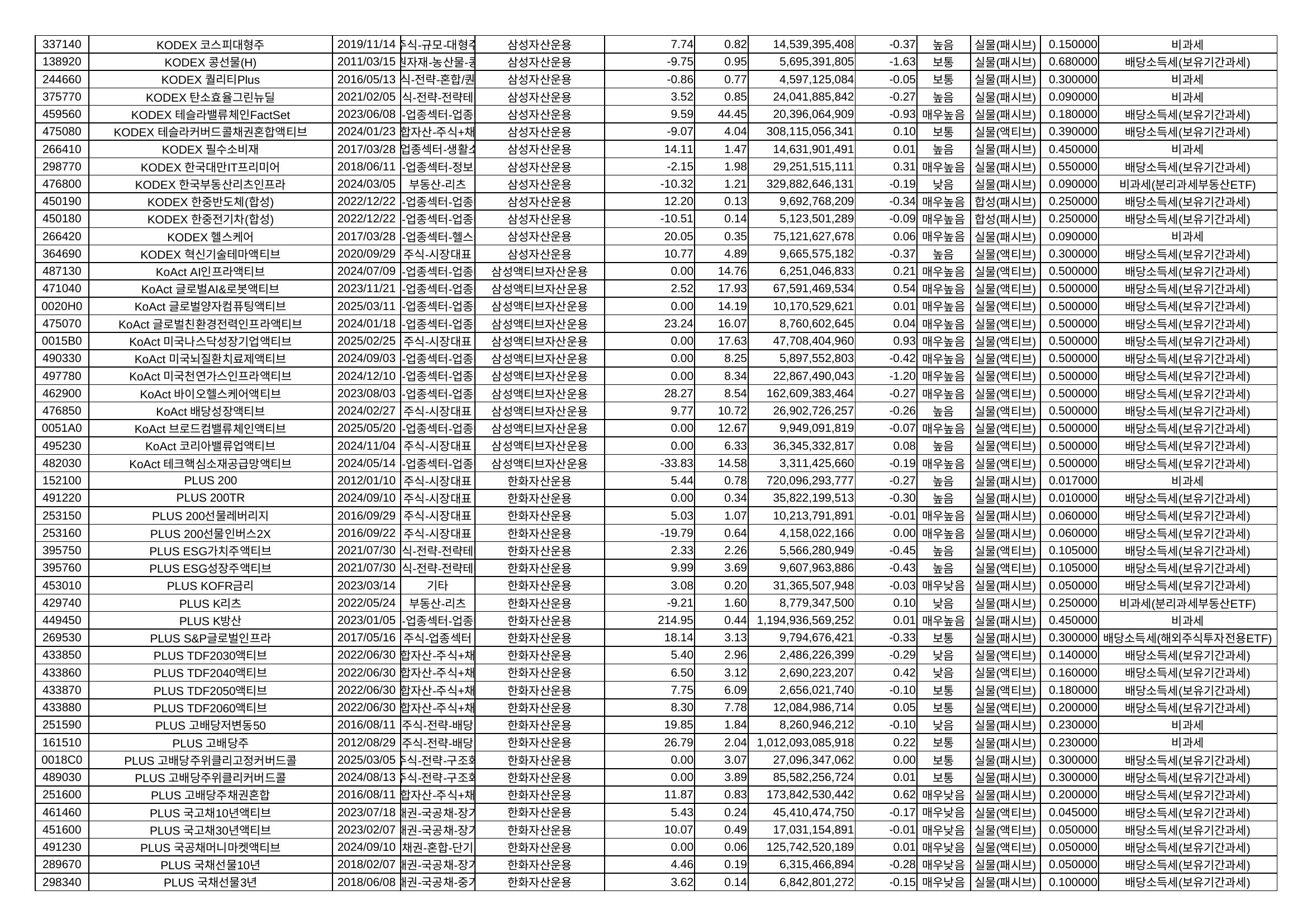
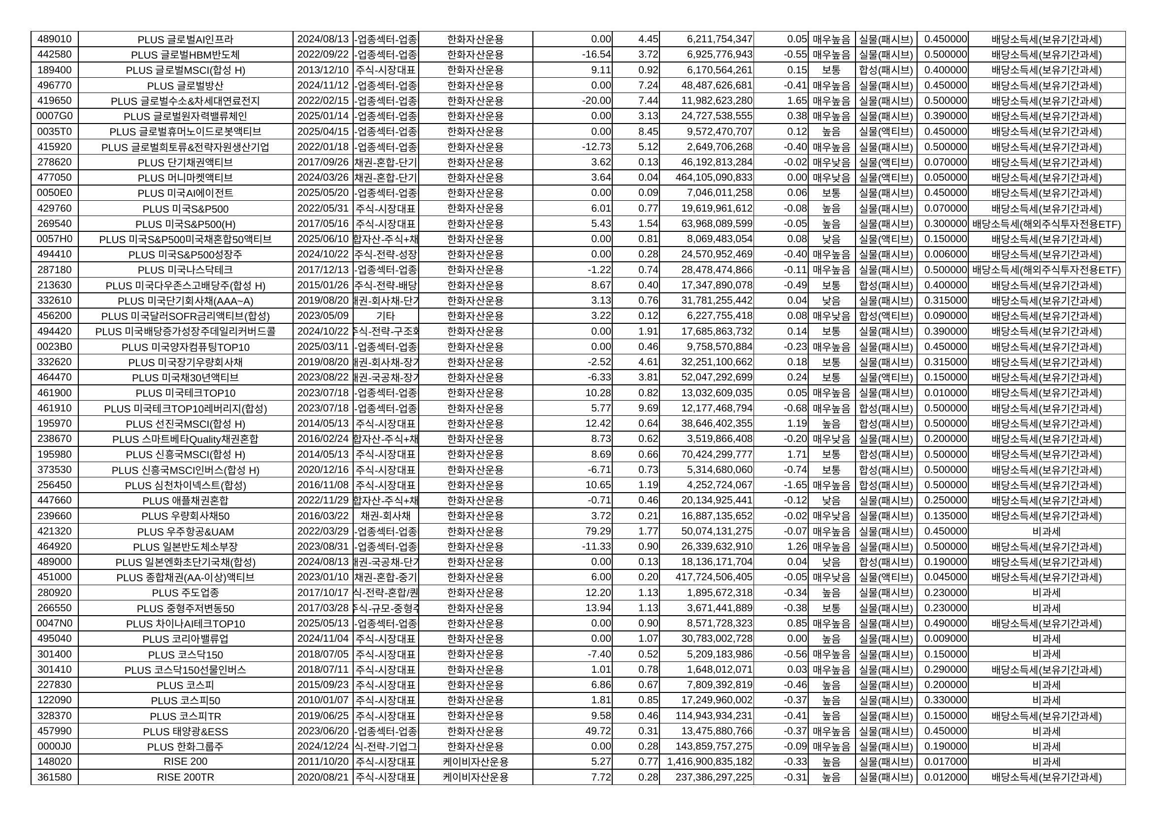
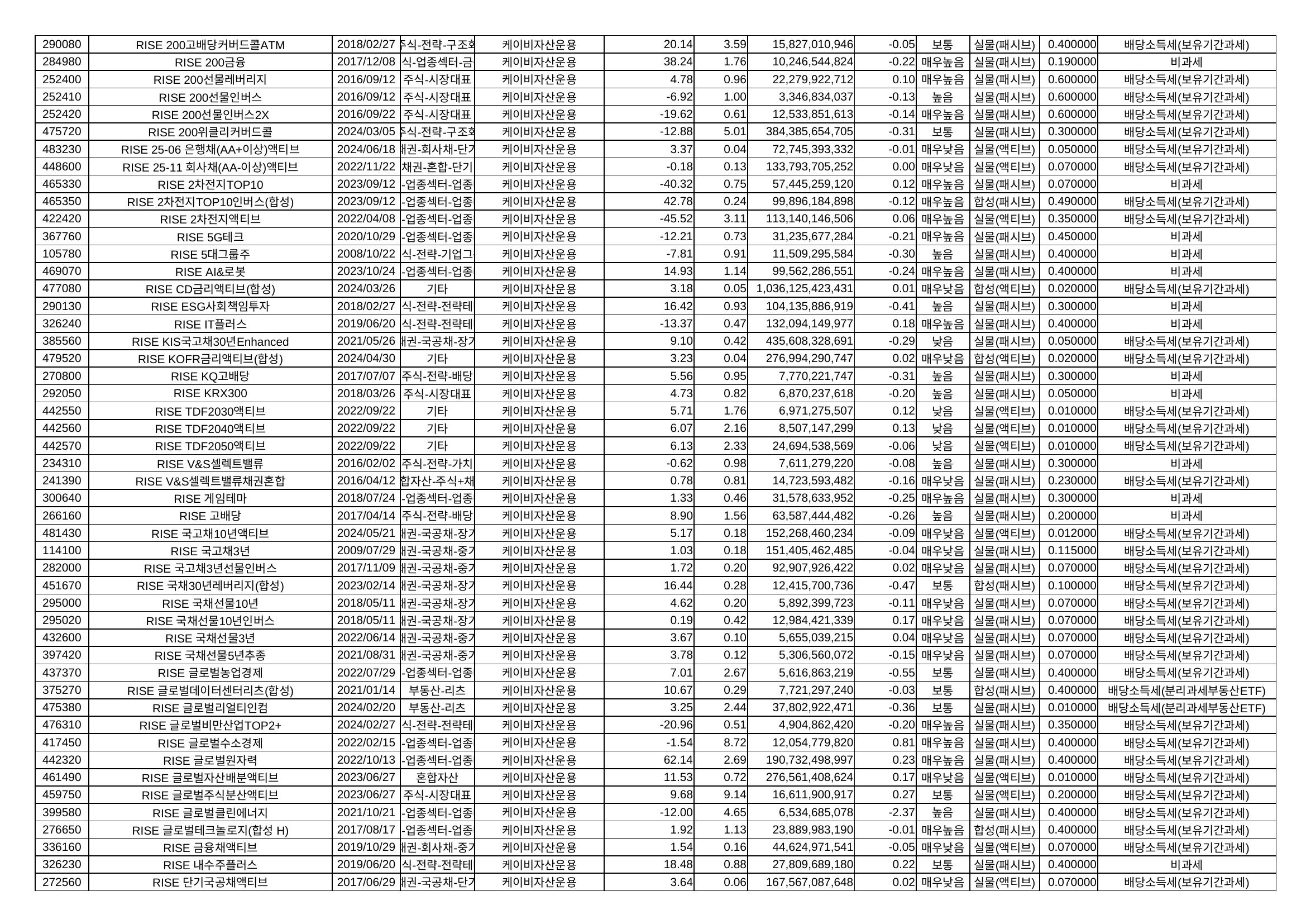
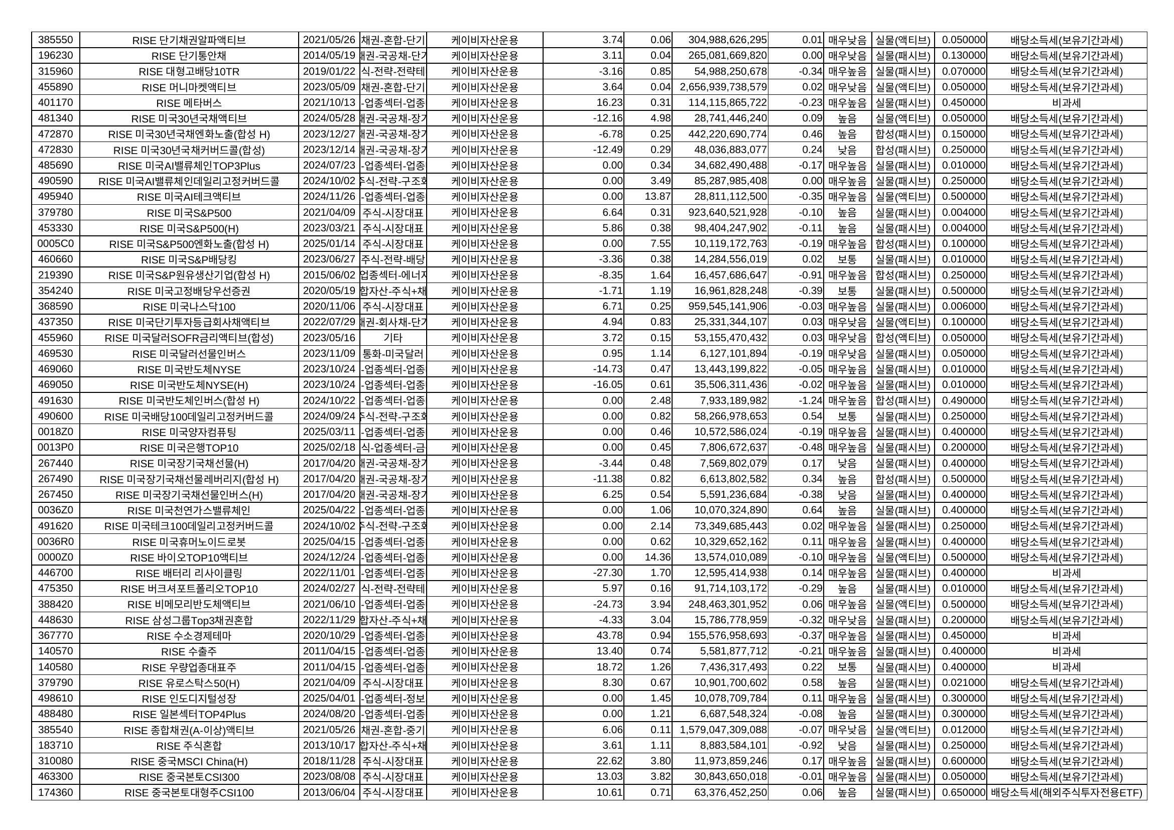
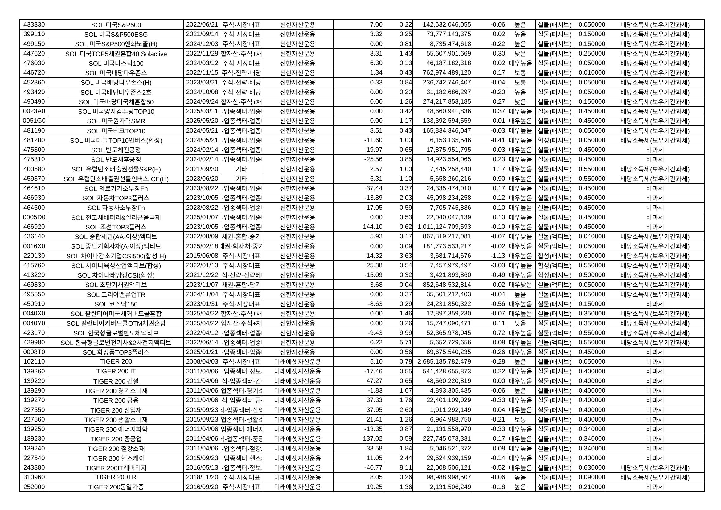
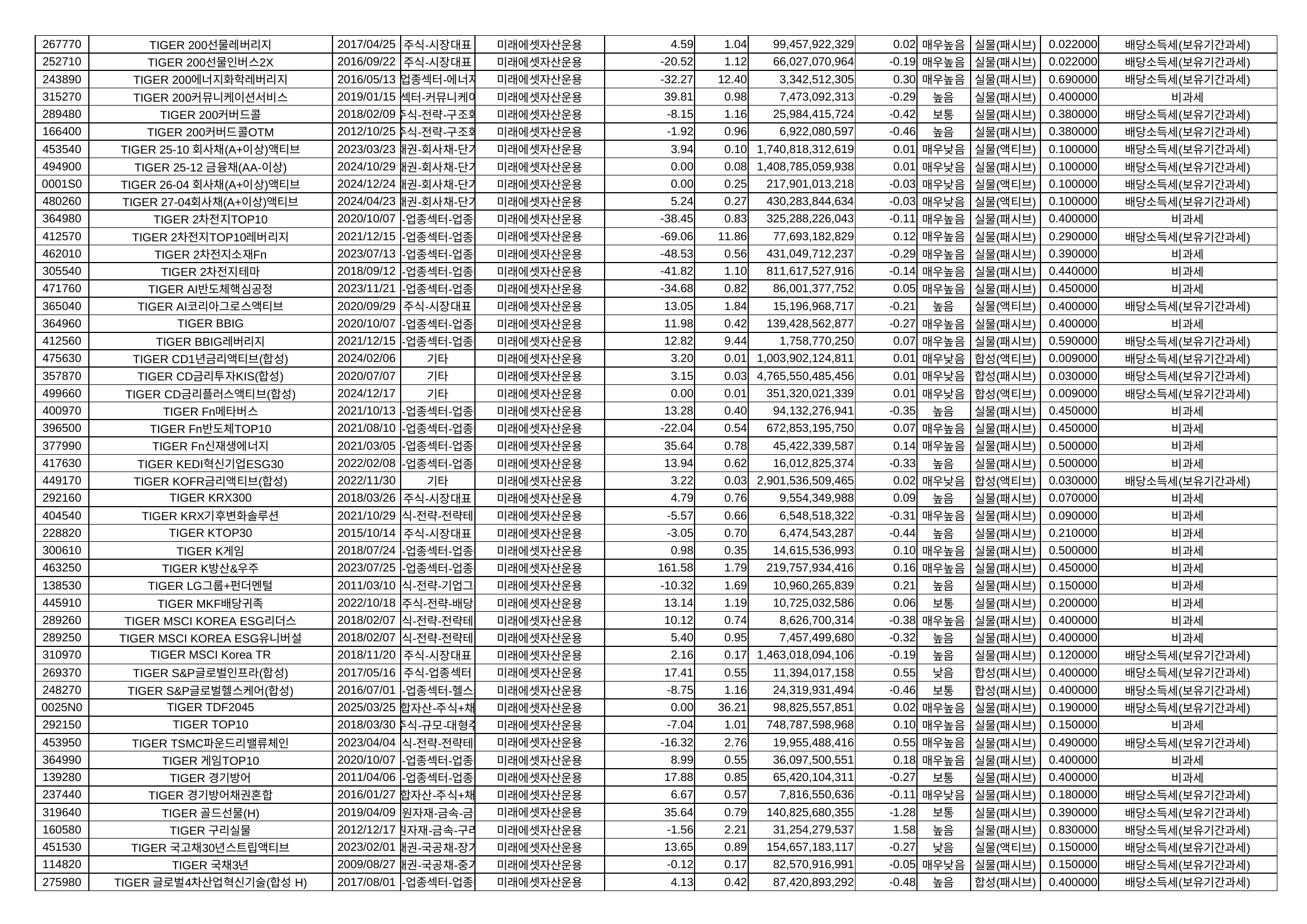
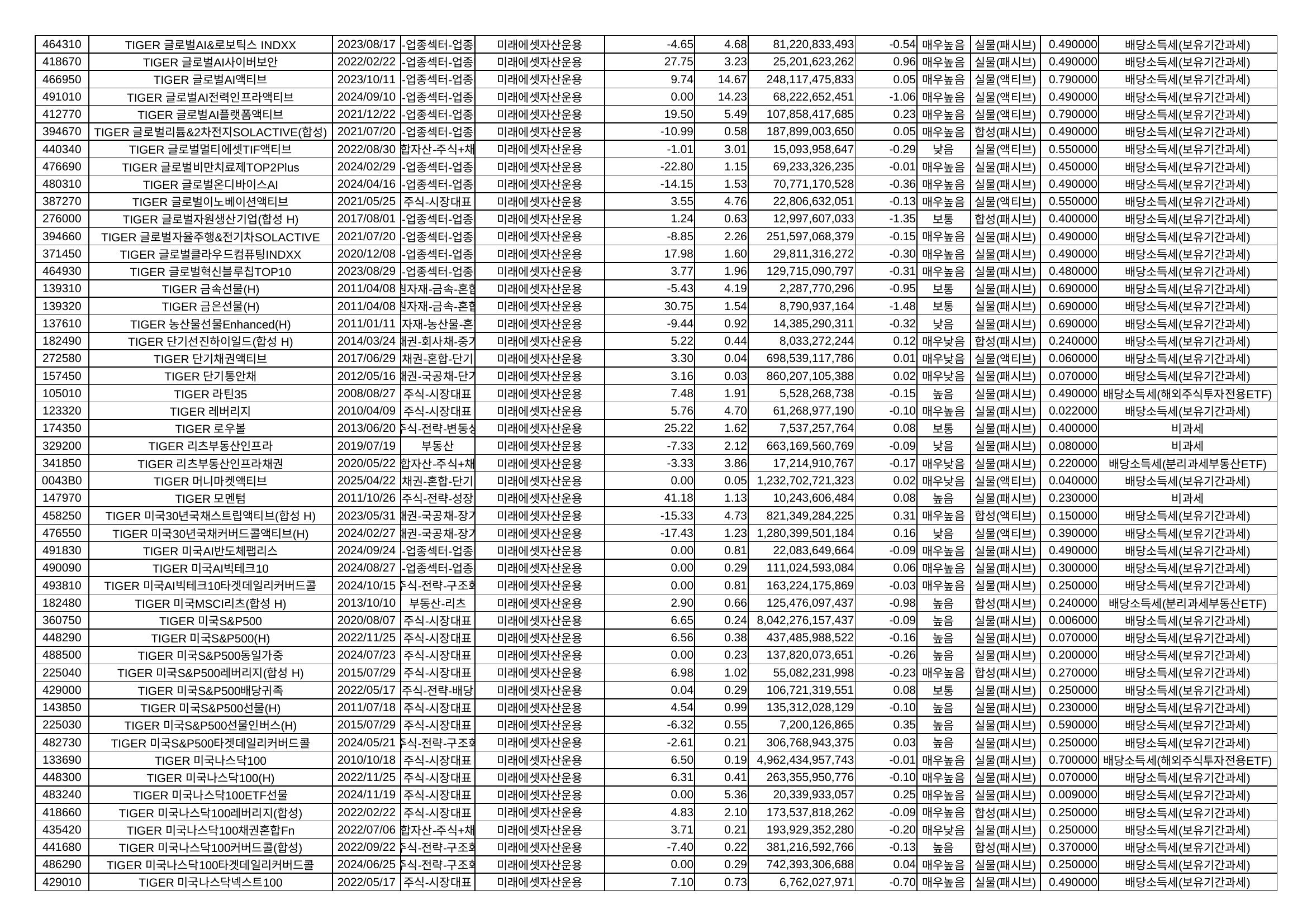
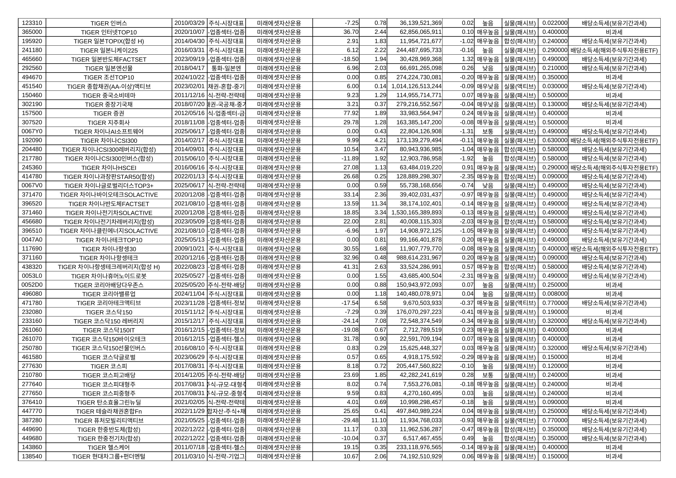
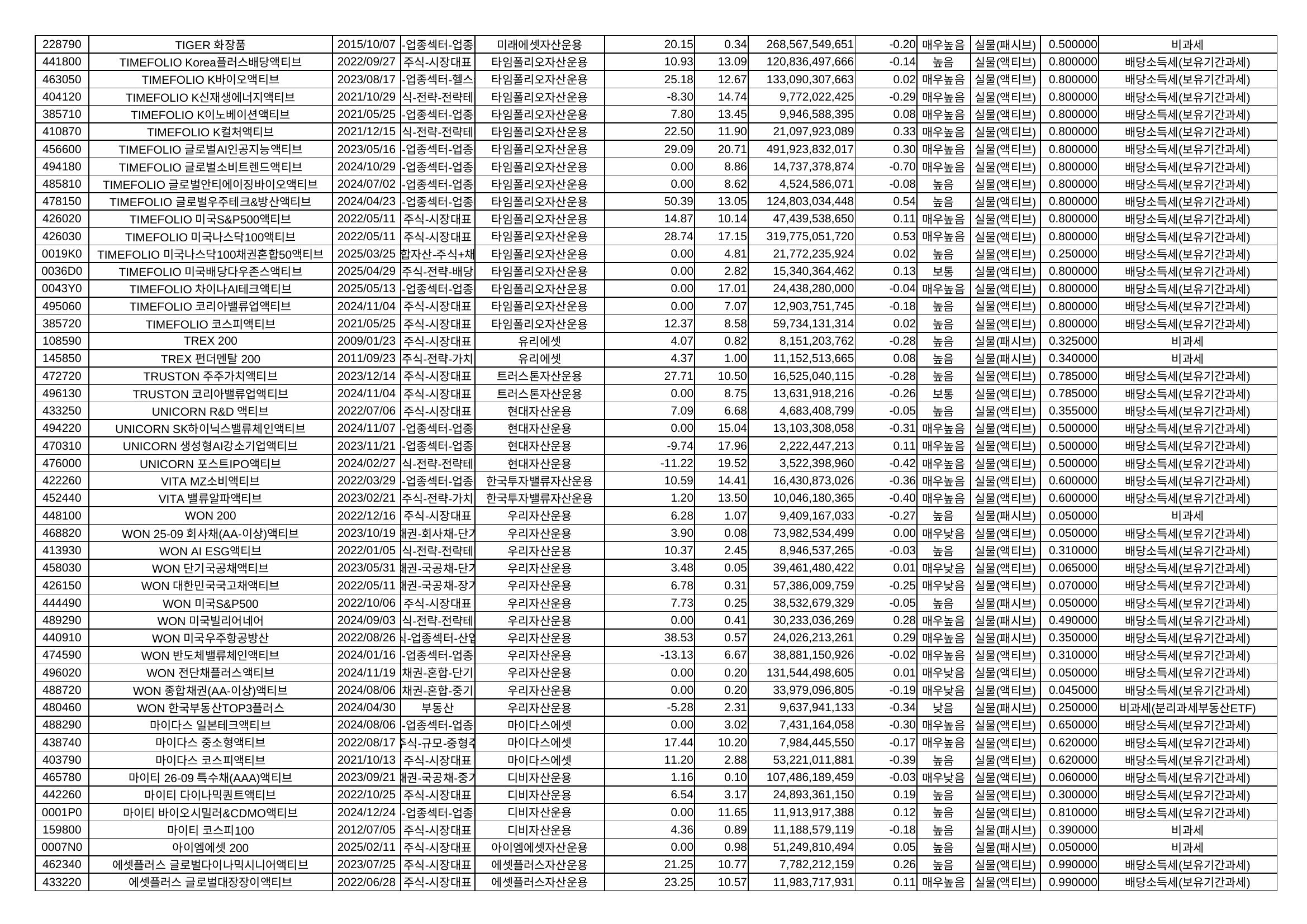
전체 ETF를 한눈에 보는 시트 ~~~





















728x90
'주식(STOCK) 및 연금(Passion)' 카테고리의 다른 글
| 상승하는 월배당 ETF 재투자 ? 그냥 현금으로 ? (2) | 2025.06.28 |
|---|---|
| 2025년 6월 코스피 단타 매매 추천 종목 ~~~ (267770) (0) | 2025.06.26 |
| 이제는 전국민 ETF 시대 - 한 눈에 그래프로 ~~~ (0) | 2025.06.22 |
| K-방산 주식, 지금이 바로 투자 (18) | 2025.06.22 |
| 주식 투자 기록 - 25년 6월 20일 투자 -> (6) | 2025.06.21 |